コレクション never let you go b'z 145160-Never let you go beyonce
If you didn't know, This is love Let the music blast We gon' do our dance Bring the doubters on They don't matter at all Oh, baby 'Cause this life's too long And this love's too strong So, baby, know for sure That I'll never let you go So don't fear Don't you worry about a thing I am here, right here I'll never let you go Don't shed a tearIf you didn't know, This is love Let the music blast We gon' do our dance Bring the doubters on They don't matter at all Oh, baby 'Cause this life's too long And this love's too strong So, baby, know for sure That I'll never let you go So don't fear Don't you worry about a thing I am here, right here I'll never let you go Don't shed a tearThis time you can be sure I'm never gonna let you go I'm gonna hold you in my arms forever Gonna try and make up for all the times I hurt you so Gonna hold your body close to mine From this day on we're gonna be together Oh, I swear this time I'm never gonna let you go Oh So if you'll just say You want me too I'm never gonna let you go I'm
Unsung Melody B Z Take Over Hollywood
Never let you go beyonce
Never let you go beyonce-If you didn't know, This is love Let the music blast We gon' do our dance Bring the doubters on They don't matter at all Oh, baby 'Cause this life's too long And this love's too strong So, baby, know for sure That I'll never let you go So don't fear Don't you worry about a thing I am here, right here I'll never let you go Don't shed a tearAge InfantToddler All about me Separation Anxiety Animals Penguins In a firstperson narrative, simple, reassuring text tells a little one that a caregiver loves you, treasures you, and will never let you go Except for when you need to go to the bathroom, chase the stars, need some quiet time after a tantrum, or play with your friends


Unsung Melody B Z Take Over Hollywood
23 I will never let you go小女花不弃Episode 23 January 7, 19 45min 13 Subtitles Subtitles English CC Audio languages Audio languagesNever Let You Go Lyrics There's every good reason / For letting you go / She's sneaky and smoked out / And it's starting to show / I'll never let you go / I'll never let you go / I'll never letNever Let You Go 1,214 likes · 2 talking about this send FREE SMS even on festivals via internet & get lots of FREE RECHARGE, just register here
Discover releases, reviews, credits, songs, and more about Savanna Never Let You Go at Discogs Complete your Savanna collectionWatch the video for NEVER LET YOU GO from B'z's OFF THE LOCK for free, and see the artwork, lyrics and similar artistsNever Let You Go Lyrics Shadows fall and the darkness of night descends Concrete walls bring the road to an end I don't know which way Leads me back to you Every step that I take Brings your
"Never Let You Go" is a track by Billy Surya Dilaga featured on his second studio album, Breathe This track is the first lead single of this albumPopular Lists Related lists from users Create a list All Time Favorite Dramas 351 titles 713 loves 11The easy, fast & fun way to learn how to sing 30DaySingercom From time to time My eyes fill with tears When I guess what would be my life If your love ever disappears You know, I've never cared For anyone, this way, before And I feel like if I lose you, baby I could never love anymore No matter how High or low The wind may blow I will never let you go You came along when I was goin' off my


Third Eye Blind Never Let You Go Official Music Video Youtube


B Z Never Let You Go Lesson2 ギターソロ Youtube
I Will Never Let You Go Posted on January 9, 19 Synopsis "The person who takes possession of the treasure of Bi Luo Tian will rule the Kingdom" Because of this rumor, many in the pursuit of power want to get the "Divine Maiden" Hua Buqi, because she is the only one who can find the treasure Since childhood, Hua Bouqi has toB'z / NEVER LET YOU GO mlさんのオケを使用させて頂きました。mlさん本当にありがとうございます!NEVER LET YOU GO Lyrics ガラスに広がってる君の街 見おろして / 無口なビルをつつむ音のない雨に気づいたよ / 乾いた時間をキスも交わさずに


B Z Album Diskografie


Off The Rock の3曲目 Never Let You Goの切なさ B Zに惚れて Being系ミュージシャンに惚れて gizaミュージシャンに惚れて
Never Let You Go Lyrics I won't let you go / No, I won't let you go / I won't, I won't let you go / No, no, no / And you mean so verery much to me / I once was blind, I could not see / Your love hasGrazie mille La nostra soddisfazione siete voiNever, never let you go (Never let you go, baby) (Never let you go, baby) (Never let you go, baby) (Never let you, no, never, never) (Never) never (let you go) I count raindrops on a rainy day Just keep you, my love From walking away I want you to understand I do whatever I can Just to stay your man I'm in love Cause each and every day You


B Z Rockin In The U S A Screamer Magazine


B Z S Songs Stream Online Music Songs Listen Free On Myspace
Never Let You Go Lyrics Shadows fall and the darkness of night descends / Concrete walls bring the road to an end / I don't know which way / Leads me back to you / Every step that I take / BringsNever Let You Go is pages of crazy!G G Em Just let me love you tonight Am(/C) D G Em Forget about tomorrow Am(/C) D G Em My darlin' let me hold you tight C G/B Am D G C/G G And never let me go Dry your eyes No tears and no s


Never Let You Go Youtube


Never Let You Go Joe Mcbride The Texas Rhythm Club Lyrics Song Meanings Videos Full Albums Bios
And I I'm holding on To all Your love My praise goes on And I will never let You go Post Chorus And I will never let You go Verse 3 I can't explain This hope that I've found Once alone You're here with me now Chorus And I I'm holding on To all Your love My praise goes on And I will never let You goI will never let you go 809 likes Ehi, tu, si proprio tu che stai leggendo qui che ne dici di mettere "MI PIACE"?Norma didn't need to use her twisted mind as much with this one but she still managed to shock Brenda with figuring out the reveal and the details before she did


Never Let You Go Rasun Lyrics Song Meanings Videos Full Albums Bios


Into Free Title Intro Song Dragon S Dogma Wiki Fandom
Talents Under Jaywalk Studio I Will Never Let You Go A Must Watch!"I Will Never Let You Go" is a 19 historical Chinese Drama Watch I Will Never Let You Go Episodes Online at DramaHuborg I Will Never Let You Go is available in High Definition only through DramaHuborg Choose an episode below and start watching I Will Never Let You Go in Subbed & Dubbed HD nowNovela I Will Never Let You Go Dorama disfruta de todos los episodios gratis Subtitulado en Español Hua Bu Qi (Ariel Lin), es una vagabunda con inteligencia empresarial que es acechada por asesinos c


Be With Vol 98 Bz Rock Com Wiki Fandom


Ro B Z Can You Rap Like Me Remix Lyrics Genius Lyrics
Never Let You Go Lyrics I won't let you go No, I won't let you go I won't, I won't let you go No, no, no And you mean so verery much to me I once was blind, I could not see Your love hasNever Let You Go 3 9,225 likes · 2 talking about this Solo BeliebersBut it was fun crazy, and kind of scary crazy That's exactly what I was hoping for when I picked it up!


Unsung Melody B Z Take Over Hollywood


B Z Flash Back B Z Early Special Titles 1997 Cd Discogs
WATCH OFFICIAL VIDEO DILLON FRANCIS 'NEVER LET YOU GO' FT DE LA GHETTOSUBSCRIBE TO DILLON FRANCIS YOUTUBE CHANNEL http//dillonfrancisfm/YouTubeI'm reNever Let You Go 3 9,225 likes · 2 talking about this Solo BeliebersNever let you go, if I seem to let this out of my mouth Please shoot and kill me with cold words Kill this much too much pain in my chest Never let me back, never let you go Never let you go, please don't look at me I can't possibly do anything for you From now on, please don't reflect your bright lights to me Never let you go, deep inside of me


Backstage Blogger B Z Sting The Big Apple


Never Let You Go B Z 가사집
• Never Let You Go •, Atlanta, GA 902 likes · 1 talking about this Scrivo quello che mi passa per la testa,c'ho che non posso esprimere,se non vi va bene non è affar mio Ah beh quindi,Welcome toIf you are having trouble with Broglyn, go back and find the boglings that you failed to kill earlier and kill them He heals more for every bogling of Broglyn that you didn't kill Go to Tuatara Rim ( 171, 218, 133 ) Copy /waypoint , , and kill tuatara cliffcoasters and tuatara preycullers , then slay KillmodoPopular Lists Related lists from users Create a list All Time Favorite Dramas 351 titles 713 loves 11


B Z Support Members B Z Wiki Your Number One Source For Everything B Z


The Storied History Of B Z And Aerosmith When The Top Rock Bands In Japan And America Come Together Off The Lock Your Number 1 Source For B Z
Watch New Singing Lesson Videos Can Make Anyone A Great Singer They can take these clothes off my back They can take my money Don't care about that Let them take my words It's all I've got They can have this fame It ain't worth a lot Only thing I know, is I'll never let you go As she takes the stand By the look in her eyes I can tell that she knows That she's holding the fate of my world inTalents Under Jaywalk Studio I Will Never Let You Go A Must Watch!Never Let You Go Lyrics Your love in me, has set me on fire / This joy I feel, brings me to life / Let songs of praise, fall off my lips / These songs replay, again and again / And I, I'm holding


B Z Never Let You Go Live Gym 90 91 Risky Youtube


Never Let You Go B Z 完全無料画像検索のプリ画像 Bygmo
Never let you go, if only I met you earlier Then maybe we could have trusted these lost hearts and bodies to each other Never let you go, if I seem to let this out of my mouth Please shoot and kill me with cold words Kill this much too much pain in my chest Never let me back, never let you go Never let you go, please don't look at meView credits, reviews, tracks and shop for the 1995 CD release of "Never Let You Go" on DiscogsTo never let you go (Ooh) (Never let you go) (Ooh, oh) It's crazy, I've given everything to you So take me, every little breath in you Reminded me, when you said you'll never go Release, your heart is in the sky and they'll never let you go And the skies will never let you go It's all you've been looking for And the minute that you have to go


Clark Gable And Gene Tierney In Never Let Me Go 1953 Famousfix


B Z B Z The Mixture Music Software Suruga Ya Com
Only thing I know is I'll never let you go Won't let you go No, never gonna let you go Won't let you go No, never gonna let you go Won't let you go No, never gonna let you go (go) Won't let you go No, never gonna let you go It might be wrong or it might be rightNever Let You Go Lyrics Yosha / I will never let you fall, take my hand let's leave now / She don't even know, how the fuck I feel now / Love me like you do girl I'll never let you go / Love me"Never Let You Go" is a song by American rock band Third Eye Blind It was released in January 00 as the second single from their second album, Blue The song peaked at number 14 on the US Billboard Hot 100 and spent three weeks at number one in Canada It also reached number 26 in Iceland, number 15 in New Zealand and number six on the UK


Never Let You Go B 039 Zの中古 未使用品を探そう メルカリ


B Z Tf At 1 Ten Years Of Quartersnacks
Age InfantToddler All about me Separation Anxiety Animals Penguins In a firstperson narrative, simple, reassuring text tells a little one that a caregiver loves you, treasures you, and will never let you go Except for when you need to go to the bathroom, chase the stars, need some quiet time after a tantrum, or play with your friendsThe story follows two friends, Megan and Anna, during the summer that is suppose to rekindle their friendship The year prior, Megan got drunk and made out with Anna's boyfriend, but she's determinedI'll never let you go Yeah I bet you'll hit a star if you just shoot for the moon Gotta get to where you're going, not a moment too soon Can't wait to hear the stories that you can't wait to tell


Never Let You Go Wonggoys Lyrics Song Meanings Videos Full Albums Bios


B Z Rockin In The U S A Screamer Magazine
Praise for Never Let You Go "As a reader, this relationship shouldn't work even though it has to work It's only because of Ms Murphy's skill in delicately addressing survival from sexual assault and abuse that we find the capacity to heal through touch and love"—Heroes and HeartbreakersG G Em Just let me love you tonight Am(/C) D G Em Forget about tomorrow Am(/C) D G Em My darlin' let me hold you tight C G/B Am D G C/G G And never let me go Dry your eyes No tears and no sI Will Never Let You Go Posted on January 9, 19 Synopsis "The person who takes possession of the treasure of Bi Luo Tian will rule the Kingdom" Because of this rumor, many in the pursuit of power want to get the "Divine Maiden" Hua Buqi, because she is the only one who can find the treasure Since childhood, Hua Bouqi has to


Never Let You Go B Z 가사집


B Z Never Let You Go Pianoforte ピアノ Ver Run Masuda Soul 판도라tv
NEVER LET YOU GO by CHEVY STEVENS is an angst driven, chilling, gripping, and suspenseful domestic psychological thriller novel that explores the darkness of l 45 stars rounded up!


Justin Bieber Never Let You Go Official Music Video Youtube


B Z 浮気をする男の葛藤とは Never Let You Go 歌詞の意味とは 歌詞解釈 レビュアブル


Never Let You Go Ykiki Beat Lyrics Song Meanings Videos Full Albums Bios


B Z Never Let You Go Live Gym 91 92 In The Life Youtube


B Z The Best Treasure B Z Wiki Your Number One Source For Everything B Z


B Z Mixture Amazon Com Music


B Z B Z Wiki Your Number One Source For Everything B Z


Shane Gaalaas Talks Drums B Z And Tour Life In Japan Trend Chaos


B Z 浮気をする男の葛藤とは Never Let You Go 歌詞の意味とは 歌詞解釈 レビュアブル


Never Let You Go とまみーのb Z Mania Jam


Eastbound Expressway Never Let Go Ebay


初回生産特典付 B Z 名盤ベストアルバム 2枚セット B Z The Best Treasure B Z The Mixture Jauce Shopping Service Yahoo Japan Auctions Ebay Japan


B Z Wikiwand


Backstage Blogger B Z Sting The Big Apple


Never Let You Go音域 B Z Hi Voice


やぎだい B Z 定期 グローリーデイズ Never Let You Go 今では 今なら 今も 仄かなる火 New Message Stardust Train 恋心 ピルグリム Native Dance 一つでも好きな曲あったらrt Rtした人全員フォローする


Never Let You Go B Z 動画を見るならdtv 公式サイト


Eastbound Expressway Never Let Go Ebay


Off The Lock B Z Wiki Your Number One Source For Everything B Z


Never Let You Go B 039 Zの中古 未使用品を探そう メルカリ


Never Let You Go音域 B Z Hi Voice


B Z B Z The Mixture 00 Cd Discogs


The Storied History Of B Z And Aerosmith When The Top Rock Bands In Japan And America Come Together Off The Lock Your Number 1 Source For B Z


B Z Is Releasing 25th Anniversary All Single Best Album The Album Is Said To Feature New Songs Sync Music Japan


Alone B Z Song Wikiwand


楽譜 Never Let You Go Mixture Style B Z ギターソロ 中級 Piascore 楽譜ストア


木下 C97頒布物はbooth通販で インセインの新作作りました 今回は不倫セインです だいたいb Zの Never Let You Go ですね


Takashi Matsumoto Hana Amazon Com Music


B Z Off The Lock Cd Discogs


Never Let You Go Smooth Friction Lyrics Song Meanings Videos Full Albums Bios


Chamillionaire Won T Let You Down Texas Remix Lyrics Genius Lyrics


B Z Never Let You Go Mixture Style Youtube


Lyrics Omoinotake Never Let You Go 歌詞 Romaji Lyrics 歌詞 English Translation


B Z Letras Com 303 Canciones


Free B Z アルバム Off The Lock Mp3 With 42 31


2


B Z The Mixture Alchetron The Free Social Encyclopedia


Never Let You Go B 039 Zの中古 未使用品を探そう メルカリ


自有收藏日本版b Z B Z B Z Bz Off The Lock 專輯cd 稻葉浩志松本孝弘 露天拍賣


Qlama Never Let You Go Feat Ryoma Skykidd Miyu Youtube


B Z Rockin In The U S A Screamer Magazine


B Z En Espanol Mou Ichido Kiss Shitakatta B Z Live Gym Pleasure 08 Glory Days Espanol Facebook


B Z Never Let You Go Youtube


B Z Never Let You Go 판도라tv


B Z B Z Wiki Your Number One Source For Everything B Z


B Z Wikiwand


B Z Live Gym 90 91 Risky B Z Wiki Your Number One Source For Everything B Z


B Z Never Let You Go Song Reaction リアクション Youtube


Backstage Blogger B Z Sting The Big Apple


B Z 禁断の職場不倫 Never Let You Go の歌詞の意味を徹底考察 Emo Stone


Never Let You Go B Z 가사집


Solved I Need Help With 8g I Finished 8f But We Need 8f Chegg Com


Solved I Need Help With 8g I Finished 8f But We Need 8f Chegg Com


How Do You Get An App Lyrics Lover Taylor Swift Slushii Never Let You Go Lyrics Besomorph Remix


Never Let You Go Lyrics


Never Let You Go Rasun Lyrics Song Meanings Videos Full Albums Bios


自有收藏日本版b Z B Z B Z Bz B Z The Mixture 專輯cd 稻葉浩志松本孝弘 露天拍賣


Never Let You Go Ch Alexander Eichler Lyrics Song Meanings Videos Full Albums Bios


The Storied History Of B Z And Aerosmith When The Top Rock Bands In Japan And America Come Together Off The Lock Your Number 1 Source For B Z


楽譜 Never Let You Go Mixture Style B Z ギターソロ 中級 Piascore 楽譜ストア


B Z Never Let You Go Mixture Style カラオケ音源 Youtube


Paroles Lyrics B Z C Mon


Won T Let You Down Texas Takeover Remix Lyrics By Chamillionaire Slim Thug Lil Keke Mike Jones Trae Paul Wall Bun B Z Ro Pimp C I M Up Early In


Solved At What Point On The Surface Z 1 X2 Y2 Is Its Ta Chegg Com


Never Let You Go 搜索结果 哔哩哔哩弹幕视频网 つロ乾杯 Bilibili


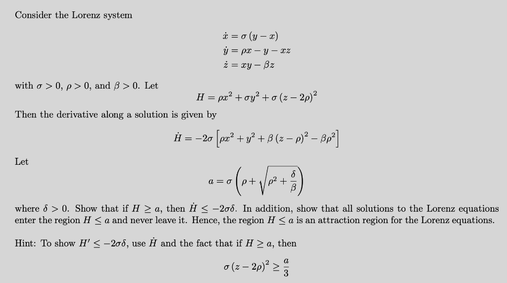
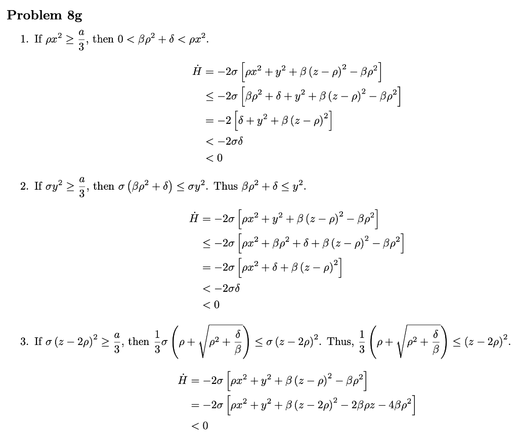
Solved Consider The Lorenz System O Y X Y Px Y Chegg Com


Queen B Z Bad Who S Who Kpopinfo114


B Z Off The Lock Music Software Suruga Ya Com


Be With Vol 98 Bz Rock Com Wiki Fandom


Never Let You Go King Dude Lyrics Song Meanings Videos Full Albums Bios


Never Let You Go Lyrics B Z Bz Mojim Com


B Z 声明 Still Alive Mp3 Flac Download Free

コメント
コメントを投稿